
С 2019 года сведения о кадастровой стоимости, установленной решением комиссии или суда, учитываются при определении налоговой базы с начала налогообложения объекта по оспоренной кадастровой стоимости, а не с момента подачи заявления. То есть если налог на имущество рассчитан по кадастровой стоимости объекта с 2017 года, а заявление об оспаривании этой стоимости удовлетворено в 2019 году, то налогоплательщику пересчитают налоговые платежи с 2017 года. Указанное положение применяется к сведениям об изменении кадастровой стоимости, внесенным в Единый государственный реестр недвижимости по основаниям, возникшим с 1 января 2019 года.
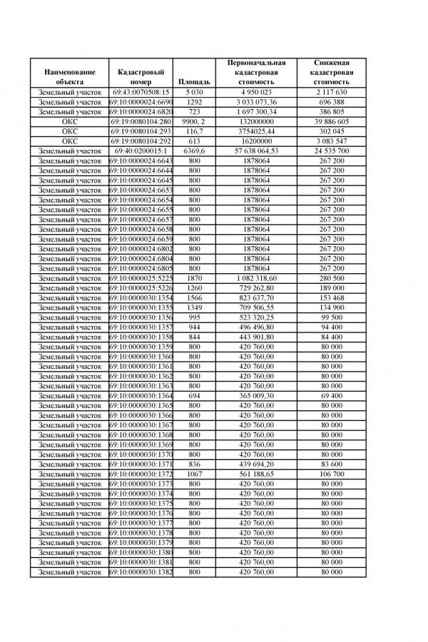
Компания ООО «Центр оценки» на протяжении 5 лет занимается оспариванием кадастровой стоимости земельных участков и объектов капитального строительства (ОКС). Мы проводим предварительный, бесплатный анализ вашей стоимости и говорим свое мнение о возможности снижения кадастровой стоимости. Проводим процедуру под ключ, от вас требуется только дать нам доверенность (на представление ваших интересов), а все остальные заботы мы возьмем на себя.
Вид оценки |
Стоимость оценки |
Срок проведения оценки |
| ОЦЕНКА | ||
| Оценка земельного участка для оспаривания кадастра | от 15000 рублей | 7-14 рабочих дней |
| Оценка ОКС для оспаривания кадастра | от 20000 рублей | 7-14 рабочих дней |
Наша миссия - объединение оценщиков и экспертов для повышения качества оказываемых услуг и решения любых межотраслевых вопросов.
Нужна помощь? Обратитесь к нам по телефону 8(903)695-51-37 или отправьте сообщение